| [索 引 号] | 11500382671042789P/2026-00015 | [发文字号] | |
| [主题分类] | 社会救助 | [载体分类] | 公告公示 |
| [发布机构] | 合川区龙市镇 | [有 效 性] | |
| [成文时间] | 2026-02-13 | [发文时间] | 2026-02-13 |
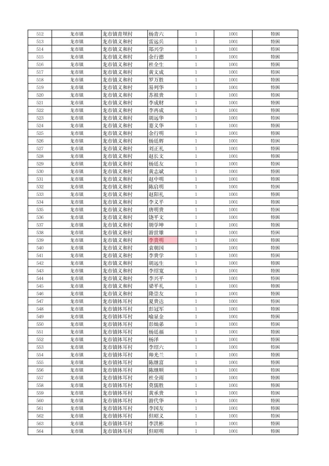
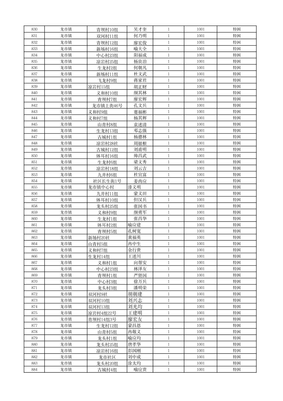
| [标 题] | 合川区龙市镇2026年2月社会救助对象长期公开名单——特困人员 | ||
大
中
小


















分享文章到
部门解读
一图读懂
媒体视角
政策问答
政策文件
附件下载
主办:重庆市合川区人民政府办公室
邮编:401520
地址:重庆合川区希尔安大道222号
网站标识码:5001170002
微信公众号